Free Access

Fig. 11

thumbnail

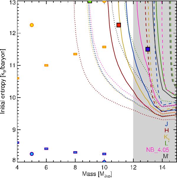
Masses and initial entropies for β Pictoris b (solid lines) for which warm-start evolutionary models of Spiegel & Burrows (2012) with cloudy atmospheres and solar metallicity (hy1s) at 12 Myr predict the measured absolute magnitudes of the planet. The dotted and dashed lines bracket the range of possible initial entropies and masses of the planet considering the error on the measured photometry and on the age (8–20 Myr) of the system. Green, red, and blue squares correspond to masses and initial entropies for which the predicted photometry simultaneously fit the companion one for ages of 8, 12, and 20 Myr respectively. Masses excluded from current radial velocity measurements and assuming a planetary orbit with a semi-major axis of 9 AU are reported in gray. Yellow and blue dots represent the initial entropies considered in the SB12 hot and cold star models, respectively. Yellow and blue rectangles represent the entropies at 1 Myr in the Marley et al. (2007) hot and cold star models.

Current usage metrics show cumulative count of Article Views (full-text article views including HTML views, PDF and ePub downloads, according to the available data) and Abstracts Views on Vision4Press platform.

Data correspond to usage on the plateform after 2015. The current usage metrics is available 48-96 hours after online publication and is updated daily on week days.

Initial download of the metrics may take a while.