Free Access

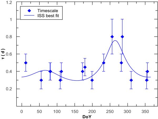
Fig. 3

thumbnail

Annual modulation plot of the IDV of 1156+295 at 4.8 GHz, with the best-fit anisotropic ISS model for the IDV timescale.

Current usage metrics show cumulative count of Article Views (full-text article views including HTML views, PDF and ePub downloads, according to the available data) and Abstracts Views on Vision4Press platform.

Data correspond to usage on the plateform after 2015. The current usage metrics is available 48-96 hours after online publication and is updated daily on week days.

Initial download of the metrics may take a while.