Free Access

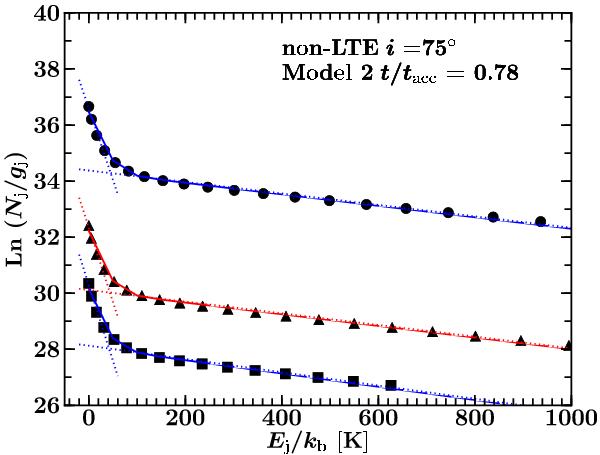
Fig. C.1

thumbnail

Example of the two-temperature fitting of the NIR lines. The column densities are derived from a curve-of-growth analysis performed on the simulated spectra using RADLite. The different symbols correspond to 12CO (circle), 13CO (triangles) and C18O (squares). The solid lines are the combination of the cold and warm components.

Current usage metrics show cumulative count of Article Views (full-text article views including HTML views, PDF and ePub downloads, according to the available data) and Abstracts Views on Vision4Press platform.

Data correspond to usage on the plateform after 2015. The current usage metrics is available 48-96 hours after online publication and is updated daily on week days.

Initial download of the metrics may take a while.