Free Access

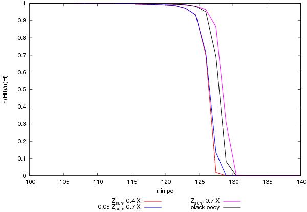
Fig. 15

thumbnail

Ionized hydrogen fraction in a H/He gas (nH = 10 cm-3, nHe/nH = 0.1, and Tgas = 10 000 K) surrounding the above very massive stars, again in comparison to that of an equivalent blackbody. Here also, the variation of the stellar metallicity only has a small influence on the Strömgren radii.

Current usage metrics show cumulative count of Article Views (full-text article views including HTML views, PDF and ePub downloads, according to the available data) and Abstracts Views on Vision4Press platform.

Data correspond to usage on the plateform after 2015. The current usage metrics is available 48-96 hours after online publication and is updated daily on week days.

Initial download of the metrics may take a while.