Free Access

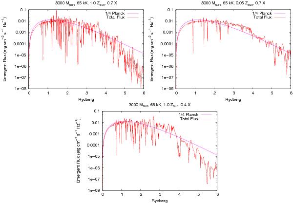
Fig. 16

thumbnail

As Fig. 14, but the flux is now shown on a logarithmic scale. On this scale the variation of the fluxes in the range above the He ii ionization edge with metallicity is verified. For a metallicity of 0.05 Z, there is a considerably stronger flux of these photons than for the models with Z. Because of the larger He abundance, the model at the bottom shows less emission in the He ii-ionizing part of the spectrum.

Current usage metrics show cumulative count of Article Views (full-text article views including HTML views, PDF and ePub downloads, according to the available data) and Abstracts Views on Vision4Press platform.

Data correspond to usage on the plateform after 2015. The current usage metrics is available 48-96 hours after online publication and is updated daily on week days.

Initial download of the metrics may take a while.