Free Access

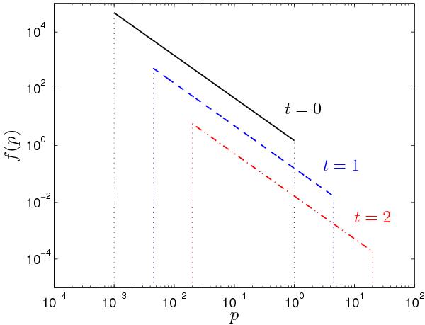
Fig. 5

thumbnail

Evolution of the momentum distribution function as obtained from the self-similar solution of the momentum diffusion equation for the case q = 2. The three lines illustrate the distribution at the times t = 0 (black solid line), t = 1 (blue dashed line), and t = 2 (red dotdashed line). (This figure is available in color in electronic form.)

Current usage metrics show cumulative count of Article Views (full-text article views including HTML views, PDF and ePub downloads, according to the available data) and Abstracts Views on Vision4Press platform.

Data correspond to usage on the plateform after 2015. The current usage metrics is available 48-96 hours after online publication and is updated daily on week days.

Initial download of the metrics may take a while.