Free Access

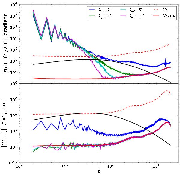
Fig. 8

thumbnail

Power spectrum of the mask mean field rescaled by fgal (top, gradient modes; bottom curl modes). The full red line is the Gaussian noise N0,gc divided by the number of unlensed simulation, N = 100. When the binary Galactic mask is applied (blue lines) the reconstruction is strongly biased at high multipoles. Note the absence of a mask mean-field in the curl modes.

Current usage metrics show cumulative count of Article Views (full-text article views including HTML views, PDF and ePub downloads, according to the available data) and Abstracts Views on Vision4Press platform.

Data correspond to usage on the plateform after 2015. The current usage metrics is available 48-96 hours after online publication and is updated daily on week days.

Initial download of the metrics may take a while.