Free Access

Fig. 2

thumbnail

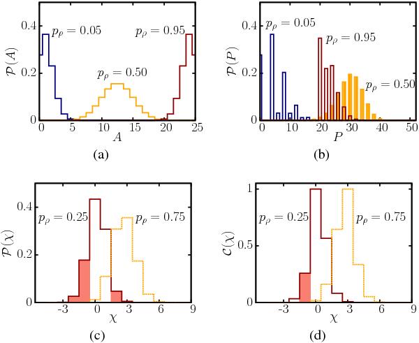
Structure of background noise for a 5 × 5 bin field at different thresholds ρ resulting in different probabilities for a black pixel. Probability distributions of a) area A; b) perimeter P; c) Euler characteristic χ. d) Compatibility of Euler characteristic χ, with the sum of all probabilities , which is visualized by the equally large colored regions beneath the graphs in c) and d) – mind the different scales.

This figure is made of several images, please see below:

Current usage metrics show cumulative count of Article Views (full-text article views including HTML views, PDF and ePub downloads, according to the available data) and Abstracts Views on Vision4Press platform.

Data correspond to usage on the plateform after 2015. The current usage metrics is available 48-96 hours after online publication and is updated daily on week days.

Initial download of the metrics may take a while.