Free Access

Fig. 10

thumbnail

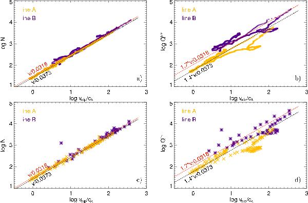
Linear correlation between log N, log  Q1/2 and log  vslip. a) log N as a function of log (vslip /) for Line A (yellow) and Line B (purple) with vslip obtained from third-order spline interpolation. b) log  Q1/2 in function of log (vslip / with the same color-code and for the same interpolation scheme. c), d) Same graphs, but with vslip measured with a linear interpolation method. The function f(vslip) = log   (vslip) − log   (vQSL) is added to all the graphs, with vQSL = 0.0373 for line A (black) and vQSL = 0.0318 for line B (red), see Fig. 9.

Current usage metrics show cumulative count of Article Views (full-text article views including HTML views, PDF and ePub downloads, according to the available data) and Abstracts Views on Vision4Press platform.

Data correspond to usage on the plateform after 2015. The current usage metrics is available 48-96 hours after online publication and is updated daily on week days.

Initial download of the metrics may take a while.