Free Access

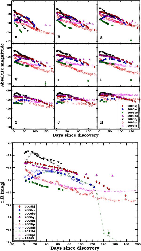
Fig. 5

thumbnail

Top panel: optical and NIR absolute magnitude light curves of the full CSP SN IIn sample plotted vs. days relative to the epoch of discovery. Bottom panel: the r-band absolute magnitude light curves for the full CSP SN IIn sample are compared to those of other SNe IIn in the literature. Photometry and values of E(B − V)host of SNe 1998S, 2005db, 2005ip, 2006jd, and 2011ht are taken from Liu et al. (2000), Kiewe et al. (2012), S12 and Mauerhan et al. (2013a). To set the absolute flux scale, luminosity distances from NED were adopted, using WMAP5 cosmological parameters and correcting for peculiar motions.

Current usage metrics show cumulative count of Article Views (full-text article views including HTML views, PDF and ePub downloads, according to the available data) and Abstracts Views on Vision4Press platform.

Data correspond to usage on the plateform after 2015. The current usage metrics is available 48-96 hours after online publication and is updated daily on week days.

Initial download of the metrics may take a while.