Free Access

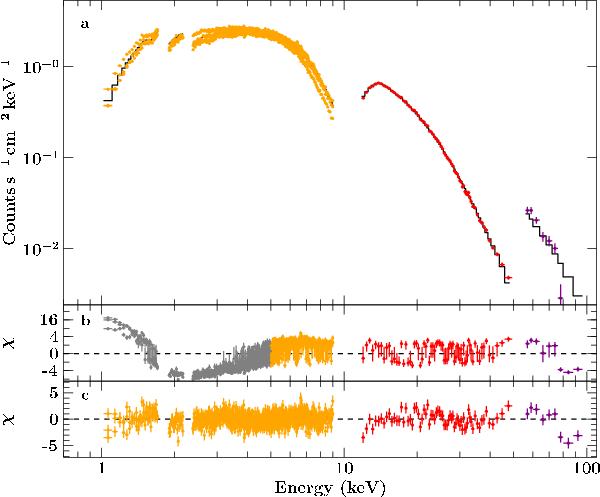
Fig. 7

thumbnail

a) 2007 Suzaku-spectrum of GRO J1008−57 (XISs: orange, PIN: red, GSO: purple). Spectral channels are rebinned for display purposes. b) A pure CUTOFFPL-model fitted to data above 5 keV, to compare with INTEGRAL-data (Coe et al. 2007), results in a poor description below that energy (gray residuals). c) Adding a black body and a narrow iron line, and taking absorption in the interstellar medium into account, improves the fit to (1845 d.o.f.).

Current usage metrics show cumulative count of Article Views (full-text article views including HTML views, PDF and ePub downloads, according to the available data) and Abstracts Views on Vision4Press platform.

Data correspond to usage on the plateform after 2015. The current usage metrics is available 48-96 hours after online publication and is updated daily on week days.

Initial download of the metrics may take a while.