Free Access

Fig. 8

thumbnail

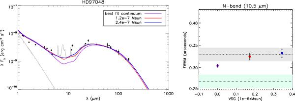
Models of HD 97048 with very small grains added to the disk. We note that a larger inner disk of 0.3–5 AU is chosen in this modeling grid to fit the observations. The higher the abundance of VSG, the larger the N-band size. The grey and light cyan boxes and the error bars indicate the ±1 error on the FWHM of the azimuthally averaged radial brightness profiles for the target and PSF, respectively. Observed data of HD 97048 is from Doucet et al. (2006).

Current usage metrics show cumulative count of Article Views (full-text article views including HTML views, PDF and ePub downloads, according to the available data) and Abstracts Views on Vision4Press platform.

Data correspond to usage on the plateform after 2015. The current usage metrics is available 48-96 hours after online publication and is updated daily on week days.

Initial download of the metrics may take a while.