Free Access

Fig. 2

thumbnail

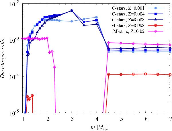
Dust-to-gas ratio (DGR) in the circumstellar shell at the end of M-star evolution for Z = 0.008 and 0.02 (line with open circles and diamonds, respectively), and at the end of C-star evolution for metallicities Z = 0.001, 0.004, 0.008 (lines with filled circles, squares, and triangles, respectively) from calculations by Ferrarotti & Gail (2006) and Zhukovska et al. (2008).

Current usage metrics show cumulative count of Article Views (full-text article views including HTML views, PDF and ePub downloads, according to the available data) and Abstracts Views on Vision4Press platform.

Data correspond to usage on the plateform after 2015. The current usage metrics is available 48-96 hours after online publication and is updated daily on week days.

Initial download of the metrics may take a while.