Free Access

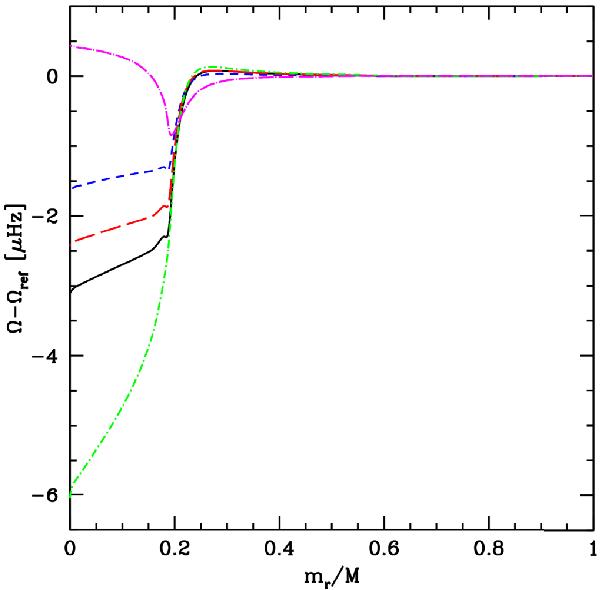
Fig. 4

thumbnail

Differences between the rotation profiles of the modified models and the rotation profile of the reference model. Black, solid: Model 1 (Magnetic braking On). Blue, short-dashed: Model 2 (Atomic diffusion On). Red, long-dashed: Model 3 (modified αMLT). Green, dot-short-dashed: Model 4 (modified Yini). Magenta, dot-long-dashed: Model 5 (modified [Fe/H]).

Current usage metrics show cumulative count of Article Views (full-text article views including HTML views, PDF and ePub downloads, according to the available data) and Abstracts Views on Vision4Press platform.

Data correspond to usage on the plateform after 2015. The current usage metrics is available 48-96 hours after online publication and is updated daily on week days.

Initial download of the metrics may take a while.