Free Access

Fig. 9

thumbnail

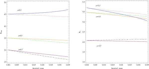
Evolution of the characteristic radii during the process of mass transfer from the accretion torus onto the black hole. Left panel: the mean radius R = Rcusp(t) of the cusp (i.e. the inner edge of the critical overflowing configuration) as a function of the mass accreted from the torus onto the black hole, computed by integrating . The Kerr metric parameters M and a are evolved during the accretion process (the initial spin values are given with the curves). The solid curve shows the dependence while the material with Keplerian angular momentum near the inner edge is accreted; the corresponding broken curve shows this dependence for a slightly lower angular momentum than the previous case at the inner edge: the angular-momentum values are for a = 0.3 → l = 3.444(resp.3.15), for a = 0.5 → l = 3.263(2.936); and for a = 0.7 → l = 2.952(2.657). The case of growing RcuspMd) generally corresponds to the receding inner edge, therefore to a shrinking volume of the torus, and so gradually increasing rate of mass accretion. Right panel: the dependence of the torus centre on the accreted mass for the same set of parameters (and the same notation of line types) as in the left panel.

This figure is made of several images, please see below:

Current usage metrics show cumulative count of Article Views (full-text article views including HTML views, PDF and ePub downloads, according to the available data) and Abstracts Views on Vision4Press platform.

Data correspond to usage on the plateform after 2015. The current usage metrics is available 48-96 hours after online publication and is updated daily on week days.

Initial download of the metrics may take a while.