Free Access

Fig. 1

thumbnail

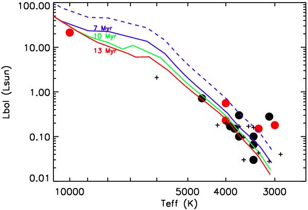
Hertzsprung-Russell diagram for TWA members in this programme. The red/green/blue solid lines represent the 13/10/7 Myr solar metallicity isochrones from Baraffe et al. (1998). The blue dashed line shows the 7 Myr Baraffe isochrone with 2 times higher luminosity to account for unresolved binary systems. Red dots are objects detected with PACS, while black dots are undetected objects. Plus symbols correspond to TWA members not observed in GASPS.

Current usage metrics show cumulative count of Article Views (full-text article views including HTML views, PDF and ePub downloads, according to the available data) and Abstracts Views on Vision4Press platform.

Data correspond to usage on the plateform after 2015. The current usage metrics is available 48-96 hours after online publication and is updated daily on week days.

Initial download of the metrics may take a while.