Free Access

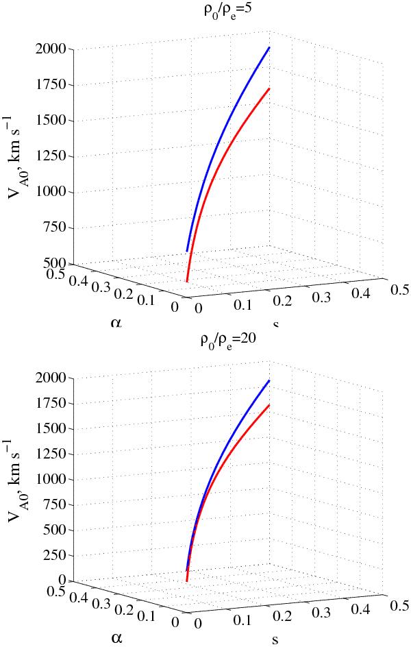
Fig. 8

thumbnail

Estimated Alfvén speed vs. aspect ratio s = x0/L, and inhomogeneity parameter α of coronal loops. Blue (red) line corresponds to the first (second) harmonic of kink waves according to Eq. (54) (Eq. (55)). The upper panel corresponds to ρ0/ρe = 5 and the lower panel to ρ0/ρe = 20. Only one line from each surface of VA0(s,α) is shown here.

This figure is made of several images, please see below:

Current usage metrics show cumulative count of Article Views (full-text article views including HTML views, PDF and ePub downloads, according to the available data) and Abstracts Views on Vision4Press platform.

Data correspond to usage on the plateform after 2015. The current usage metrics is available 48-96 hours after online publication and is updated daily on week days.

Initial download of the metrics may take a while.