Free Access

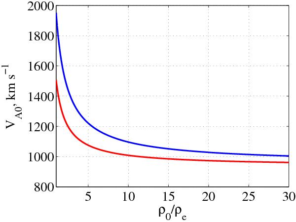
Fig. 9

thumbnail

Estimated Alfvén speed vs. density contrast. Blue and red lines correspond to the Alfvén speeds estimated from the first and the second harmonics of kink waves, respectively.

Current usage metrics show cumulative count of Article Views (full-text article views including HTML views, PDF and ePub downloads, according to the available data) and Abstracts Views on Vision4Press platform.

Data correspond to usage on the plateform after 2015. The current usage metrics is available 48-96 hours after online publication and is updated daily on week days.

Initial download of the metrics may take a while.