Free Access

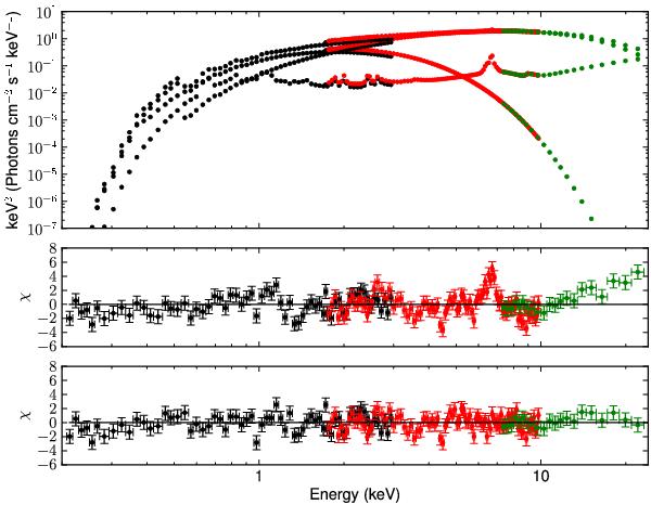
Fig. 6

thumbnail

BeppoSAX observation 2083600200 with three instruments: LECS (black), MECS (red), and HPGSPC (green). In the upper panel the unfolded spectra multiplied by E2 of the best-fit model (phabs*(diskbb + nthcomp + reflionx)) are shown. In the middle panel the residuals above the continuum are plotted, and in the lower panel the residuals after adding the reflionx model to the continuum.

Current usage metrics show cumulative count of Article Views (full-text article views including HTML views, PDF and ePub downloads, according to the available data) and Abstracts Views on Vision4Press platform.

Data correspond to usage on the plateform after 2015. The current usage metrics is available 48-96 hours after online publication and is updated daily on week days.

Initial download of the metrics may take a while.