Free Access

Fig. 7

thumbnail

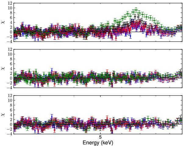
Upper panel: the residuals of all four extraction regions obtained by just using the continuum model. Shown here are region 1 (all columns, blue), region 2 (without one column, red), region 3 (without three columns, black) and region 4 (without five columns, green). Middle panel: a Gaussian is added to the continuum model. Lower panel: the diskline model is used instead of a Gaussian.

Current usage metrics show cumulative count of Article Views (full-text article views including HTML views, PDF and ePub downloads, according to the available data) and Abstracts Views on Vision4Press platform.

Data correspond to usage on the plateform after 2015. The current usage metrics is available 48-96 hours after online publication and is updated daily on week days.

Initial download of the metrics may take a while.