Free Access

Fig. A.4

thumbnail

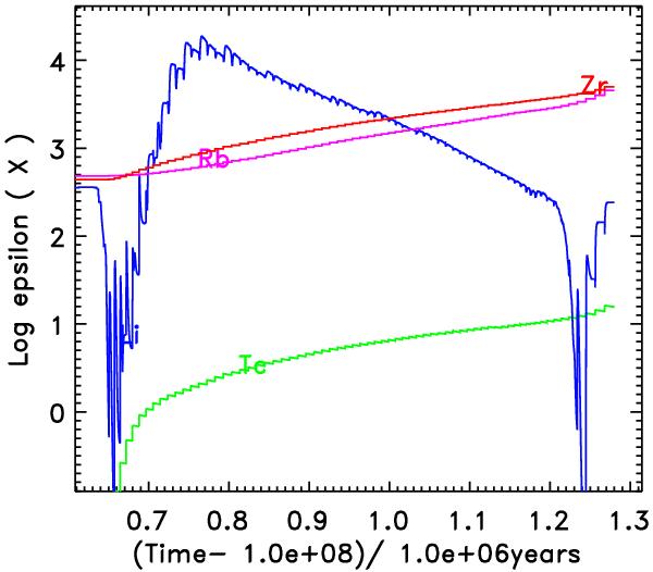
Temporal evolution of the Li, Rb, Zr, and Tc abundances as predicted by the HBB-MLT 5 M model with a 13C-rich region (the 13C pocket) and a delayed superwind (Karakas et al. 2012). We include a 13C pocket by inserting protons into the top of the He-intershell (with a mass = 1 × 10-4  M) at the deepest extent of each TDU episode. We refer to Karakas et al. (2012) and Lugaro et al. (2012) for details of this procedure. Tc (also Zr although at a slower rate) is quickly produced by the 13C neutron source; log ε(Tc) > 0 at the beginning of the super Li-rich phase (log ε(Li) ~ 4). The evolution of Rb is not greatly affected by the inclusion of the 13C pocket, but Zr is more affected, being even more abundant than Rb during the super Li-rich phase. We note that the Tc abundance is an upper limit because the trend of the half-life of 99Tc, decreasing with the temperature, is not included. However, the difference would be very small because the 99Tc half-life changes only from terrestrial 0.22 Myr to 0.11 Myr at the temperature of 100 MK typical of the 13C pocket, which means that 99Tc behaves as a stable nucleus during this neutron flux.

Current usage metrics show cumulative count of Article Views (full-text article views including HTML views, PDF and ePub downloads, according to the available data) and Abstracts Views on Vision4Press platform.

Data correspond to usage on the plateform after 2015. The current usage metrics is available 48-96 hours after online publication and is updated daily on week days.

Initial download of the metrics may take a while.