Free Access

Fig. 2

thumbnail

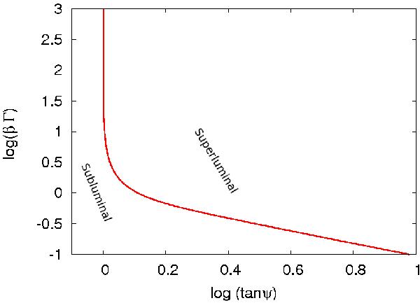
Allowed shock inclination angles of a Lorentz transformation into the de Hoffmann-Teller frame following βHT ≤ βNSHtanψ. The ordinate shows the logarithm of the βΓ product of the intersection point velocity of the flow to the shock surface, while the abscissa shows the log (tanψ) where ψ is the angle between the flow and the shock normal in the normal shock frame. In the de Hoffmann-Teller frame the vector of the velocity of the flow and the vector of the magnetic field are parallel to each other.

Current usage metrics show cumulative count of Article Views (full-text article views including HTML views, PDF and ePub downloads, according to the available data) and Abstracts Views on Vision4Press platform.

Data correspond to usage on the plateform after 2015. The current usage metrics is available 48-96 hours after online publication and is updated daily on week days.

Initial download of the metrics may take a while.