Free Access

Fig. 2

thumbnail

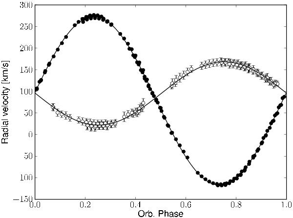
Radial velocity of the Hα emission line of RR Cae. Filled symbols represent the measurement of the Hα prominent from the M dwarf component. Open symbols with error bars represents the measurement from the extra emission component. The uncertainty in the data points of the M dwarf radial velocity is of the order of the size of the symbols and, therefore, are not shown in the fit. Solid lines represent least-square sinusoidal fits to the two emission components data.

Current usage metrics show cumulative count of Article Views (full-text article views including HTML views, PDF and ePub downloads, according to the available data) and Abstracts Views on Vision4Press platform.

Data correspond to usage on the plateform after 2015. The current usage metrics is available 48-96 hours after online publication and is updated daily on week days.

Initial download of the metrics may take a while.