Free Access

Fig. 4

thumbnail

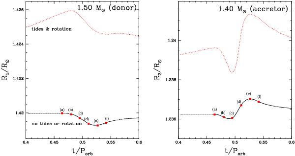
Similar to Fig. 3, but now depicting the evolution of the radius for the donor R1 (left panel) and the accretor R2 (right panel) during the first periastron passage.

This figure is made of several images, please see below:

Current usage metrics show cumulative count of Article Views (full-text article views including HTML views, PDF and ePub downloads, according to the available data) and Abstracts Views on Vision4Press platform.

Data correspond to usage on the plateform after 2015. The current usage metrics is available 48-96 hours after online publication and is updated daily on week days.

Initial download of the metrics may take a while.