Free Access

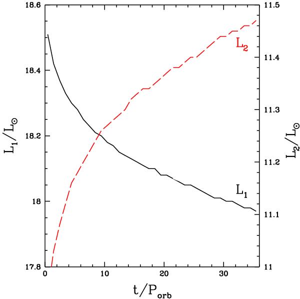
Fig. 5

thumbnail

Evolution of the surface luminosity of the donor L1 (solid black curve, left axis) and of the accretor L2 (dashed red curve, right axis) just before mass transfer recommences over a duration of about 30 periastron passages.

Current usage metrics show cumulative count of Article Views (full-text article views including HTML views, PDF and ePub downloads, according to the available data) and Abstracts Views on Vision4Press platform.

Data correspond to usage on the plateform after 2015. The current usage metrics is available 48-96 hours after online publication and is updated daily on week days.

Initial download of the metrics may take a while.