Free Access

Fig. 12

thumbnail

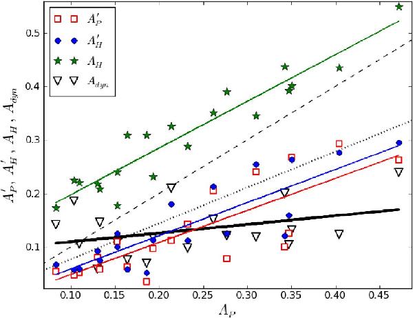
Petrosian asymmetry (AP) vs. all alternative asymmetry measurements. AH is the Holmberg asymmetry without any smoothing of the images, while a 1 × 1 kpc smoothing box has been applied to (Petrosian), (Holmberg), and dynamical Adyn asymmetry. The uninterrupted lines are least square fits to the similarly colored data points. The dashed line has a slope of 1. The dotted line is an extrapolation from the correlation of Conselice (2003) for E, S0, Sa–b, Sc–d and Irr, which lie beyond AP ~ 0.6. All asymmetries here are from the I band, in order to facilitate comparison with Conselice (2003).

Current usage metrics show cumulative count of Article Views (full-text article views including HTML views, PDF and ePub downloads, according to the available data) and Abstracts Views on Vision4Press platform.

Data correspond to usage on the plateform after 2015. The current usage metrics is available 48-96 hours after online publication and is updated daily on week days.

Initial download of the metrics may take a while.