Free Access

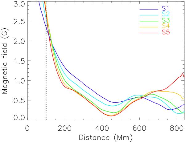
Fig. 8

thumbnail

Coronal magnetic field strengths along the five slices (S1-S5) using the PFSS model at a height of 0.1 RSun above the solar surface and indicated by different color lines. The start time of the first wave is marked by the black dotted line.

Current usage metrics show cumulative count of Article Views (full-text article views including HTML views, PDF and ePub downloads, according to the available data) and Abstracts Views on Vision4Press platform.

Data correspond to usage on the plateform after 2015. The current usage metrics is available 48-96 hours after online publication and is updated daily on week days.

Initial download of the metrics may take a while.