Free Access

Fig. 20

thumbnail

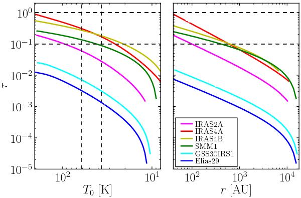
Dust optical depth at 1 THz as function of envelope radius and temperature. Horizontal dashed lines indicate the τ = 1 and τ = 0.1 values whereas vertical dash-dotted lines are radii, where the temperatures are between 40 K and 60 K.

Current usage metrics show cumulative count of Article Views (full-text article views including HTML views, PDF and ePub downloads, according to the available data) and Abstracts Views on Vision4Press platform.

Data correspond to usage on the plateform after 2015. The current usage metrics is available 48-96 hours after online publication and is updated daily on week days.

Initial download of the metrics may take a while.