Highlight
Free Access

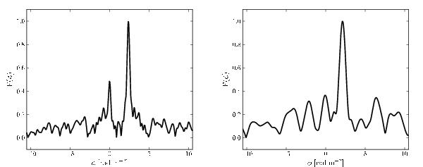
Fig. 32

thumbnail

Faraday dispersion functions (FDFs, or Faraday spectra) obtained from LOFAR observations of the polarised pulsar B0950+08 (normalized absolute value). Left: 27-min LBA tied-array beam-formed observation using coherent addition of the six LOFAR Superterp stations with a center frequency of 56 MHz, 10 MHz bandwidth, MJD 55 901, and using data from obsID L36787. Right: 10-min HBA tied-array beam-formed observation using coherent addition of 20 LOFAR core stations with a center frequency of 150 MHz, 90 MHz bandwidth, MJD 56 260, and using data from obsID L78234. The narrow FWHM of the functions allows the peaks associated with the pulsar (2.373 ± 0.011 and 2.136 ± 0.061 rad m-2, respectively) and instrumental response (~0 rad m-2) to be individually resolved, despite the very low absolute rotation measure (RM). These RMs were corrected for ionospheric Faraday rotation (0.899 ± 0.042 and 0.665 ± 0.059 rad m-2, respectively) using the ionFR code which employs International GNSS Service vertical total electron content (VTEC) maps (Hernández-Pajares et al. 2009) and data from the International Geomagnetic Reference Field (Finlay et al. 2010) (see Sotomayor-Beltran et al. 2013). The resulting RM of the ISM toward B0950+08 was determined to be 1.47 ± 0.04 and 1.47 ± 0.08 rad m-2, from LBA and HBA observations respectively. These results are significantly more precise and in good agreement with the value of 1.35 ± 0.15 rad m-2 previously measured (Taylor et al. 1993).

Current usage metrics show cumulative count of Article Views (full-text article views including HTML views, PDF and ePub downloads, according to the available data) and Abstracts Views on Vision4Press platform.

Data correspond to usage on the plateform after 2015. The current usage metrics is available 48-96 hours after online publication and is updated daily on week days.

Initial download of the metrics may take a while.