Free Access

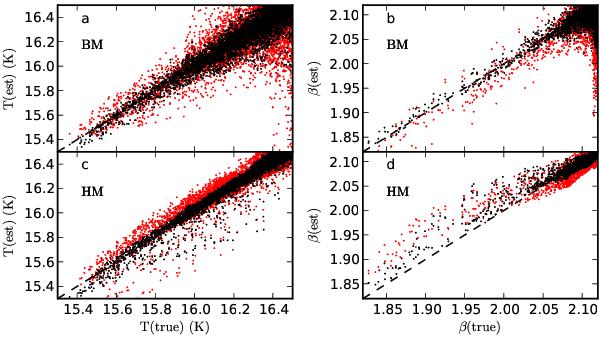
Fig. 18

thumbnail

The parameters estimated from noisy data versus the true values obtained from noiseless observations. The upper frames correspond to the BM method and the lower frames to the HM method. In each frame, black and red points correspond, respectively, to the noise levels of N = 0.1 and N = 0.2.

Current usage metrics show cumulative count of Article Views (full-text article views including HTML views, PDF and ePub downloads, according to the available data) and Abstracts Views on Vision4Press platform.

Data correspond to usage on the plateform after 2015. The current usage metrics is available 48-96 hours after online publication and is updated daily on week days.

Initial download of the metrics may take a while.