Free Access

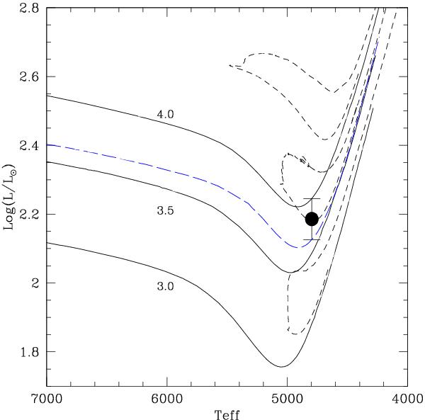
Fig. 5

thumbnail

Position of β Ceti in the Hertzsprung-Russel diagram using the effective temperature by Massarotti et al. (2008) and the luminosity derived from Hipparcos data (see text for details). Standard evolution tracks at solar metallicity by Charbonnel & Lagarde (2010) are shown in black for different initial masses as indicated by labels, with solid and short dashed lines indicating the phases of evolution before and after ignition of central helium-burning, respectively. The blue long dashed line is for the 3.5 M rotating model (see text).

Current usage metrics show cumulative count of Article Views (full-text article views including HTML views, PDF and ePub downloads, according to the available data) and Abstracts Views on Vision4Press platform.

Data correspond to usage on the plateform after 2015. The current usage metrics is available 48-96 hours after online publication and is updated daily on week days.

Initial download of the metrics may take a while.