Free Access

Fig. 10

thumbnail

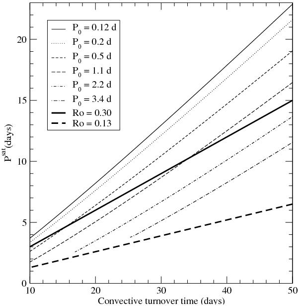
Relationships between the convective turnover time and the rotation period Psat at which a transition occurs between the saturated and non-saturated regimes of X-ray emission. The convective turnover time is expressed in the scale of Wright et al. (2011). Relationships are shown for stars with initial periods of rotation on the ZAMS ranging from 0.12 to 3.4 days. These relations have been derived assuming a correlation between X-ray emission regimes and rotation sequences using the I and C sequence parameterisation of Barnes (2010). They are compared with the linear relation (continuous thick line) that assumes a transition between X-ray emission regime at a critical Rossby number Rosat = 0.30 (G12). The linear relation corresponding to a continuous transition from saturated to non-saturated regime X-ray emission at Rosat = 0.13 is shown as a thick dashed line.

Current usage metrics show cumulative count of Article Views (full-text article views including HTML views, PDF and ePub downloads, according to the available data) and Abstracts Views on Vision4Press platform.

Data correspond to usage on the plateform after 2015. The current usage metrics is available 48-96 hours after online publication and is updated daily on week days.

Initial download of the metrics may take a while.