Free Access

Fig. 13

thumbnail

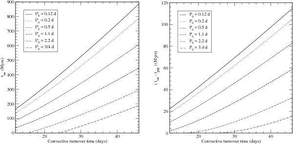
Left: age tsat on the main sequence at which stars change from a saturated to a non-saturated regime of X-ray emission as a function of convective turnover time. Right: time delay tsat − tgap between the epoch of X-ray emission regime transition and the epoch of maximum rotational deceleration.

Current usage metrics show cumulative count of Article Views (full-text article views including HTML views, PDF and ePub downloads, according to the available data) and Abstracts Views on Vision4Press platform.

Data correspond to usage on the plateform after 2015. The current usage metrics is available 48-96 hours after online publication and is updated daily on week days.

Initial download of the metrics may take a while.