Free Access

Fig. 10

thumbnail

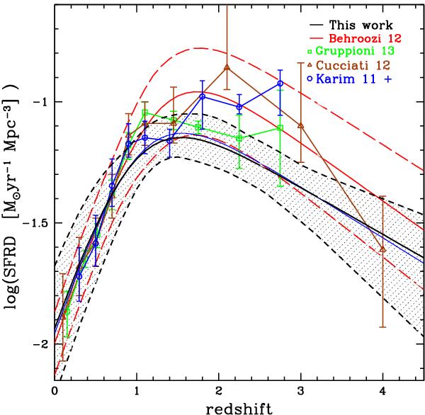
A comparison between the star formation history inferred from the UltraVISTA mass density (black solid line and dashed area corresponding to 1σ errors) and literature determinations including: direct measurements of the SFR density compiled by Behroozi et al. (2013) (red solid line with dashed lines for the associated uncertainties); star formation histories derived from the UV and IR luminosity functions from Cucciati et al. (2012) and Gruppioni et al. (2013) (brown triangles and green squares, respectively); and finally radio estimates from Karim et al. (2011) updated using the mass functions presented in this paper (blue circles).

Current usage metrics show cumulative count of Article Views (full-text article views including HTML views, PDF and ePub downloads, according to the available data) and Abstracts Views on Vision4Press platform.

Data correspond to usage on the plateform after 2015. The current usage metrics is available 48-96 hours after online publication and is updated daily on week days.

Initial download of the metrics may take a while.