Free Access

Fig. 14

thumbnail

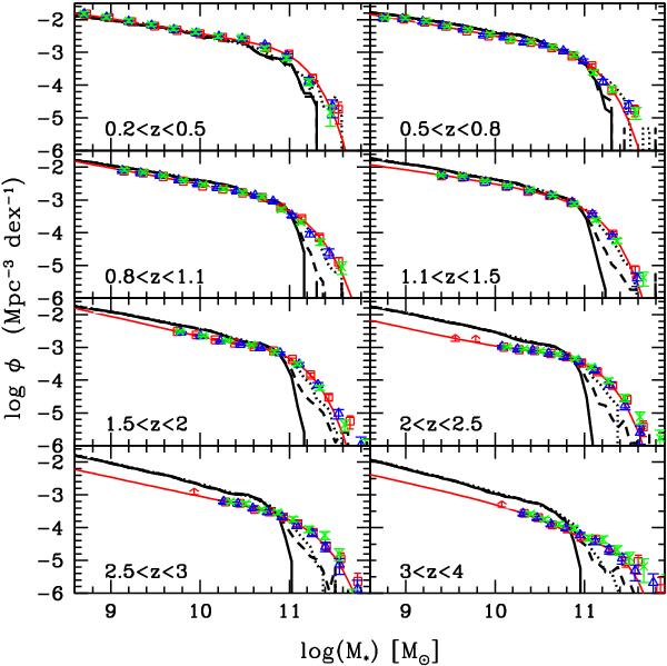
Galaxy stellar mass functions of the star-forming sample. The points correspond to the Vmax estimator (we do not show the other estimators for clarity) and error bars include cosmic variance, Poissonian errors and photo-z/stellar mass uncertainties. The red squares, the blue triangles and the green crosses correspond to the MFs computed using the exponential, delayed and composite libraries. The red solid line is the best-fitted double-Schechter function. The black solid, dashed and dotted lines correspond to the MFs predicted by the semi-analytical model, assuming no error on the stellar masses, an error evolving as described in appendix A (using the product of a Lorentzian and Gaussian distribution), and a Gaussian with a σ = 0.2 dex.

Current usage metrics show cumulative count of Article Views (full-text article views including HTML views, PDF and ePub downloads, according to the available data) and Abstracts Views on Vision4Press platform.

Data correspond to usage on the plateform after 2015. The current usage metrics is available 48-96 hours after online publication and is updated daily on week days.

Initial download of the metrics may take a while.