Free Access

Fig. 15

thumbnail

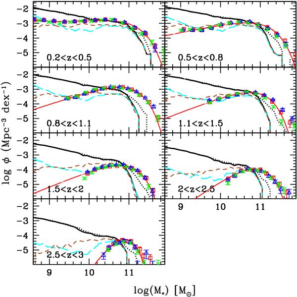
Galaxy stellar mass functions of the quiescent sample for selected using a two-colour technique. Symbols are the same as Fig. 14. The short dashed brown lines correspond to quiescent galaxies with a bulge-to-disc ratio greater than 0.5. The long dashed cyan lines correspond to the central galaxies in the models.

Current usage metrics show cumulative count of Article Views (full-text article views including HTML views, PDF and ePub downloads, according to the available data) and Abstracts Views on Vision4Press platform.

Data correspond to usage on the plateform after 2015. The current usage metrics is available 48-96 hours after online publication and is updated daily on week days.

Initial download of the metrics may take a while.