Free Access

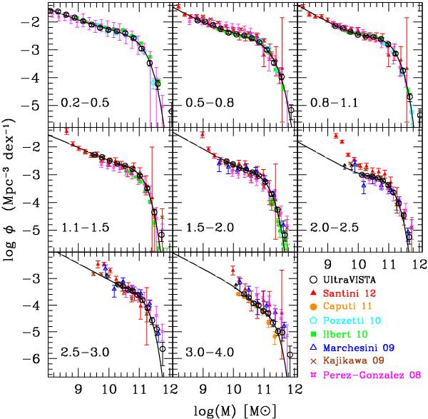
Fig. 7

thumbnail

UltraVISTA global stellar mass functions (open black circles and solid lines) compared with several measurements from the literature published since 2008 (labelled in the bottom right). Each panel corresponds to a redshift bin. The literature MF measurements are converted to the same cosmology and IMF as used in this study (H0   =   70 km s-1 Mpc-1 and Chabrier 2003 IMF).

Current usage metrics show cumulative count of Article Views (full-text article views including HTML views, PDF and ePub downloads, according to the available data) and Abstracts Views on Vision4Press platform.

Data correspond to usage on the plateform after 2015. The current usage metrics is available 48-96 hours after online publication and is updated daily on week days.

Initial download of the metrics may take a while.