Free Access

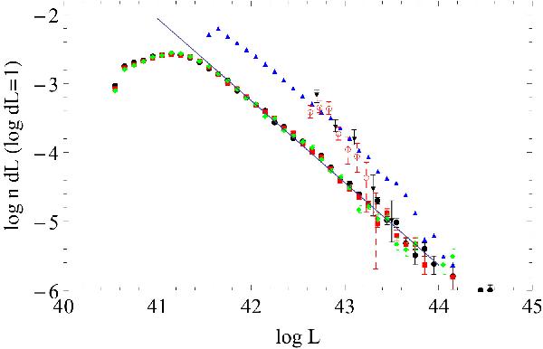
Fig. 3

thumbnail

Luminosity function from our simulation at z = 4 for three different lines of sight. The observer is set along the x-axis (circles), y-axis (boxes), and z-axis (diamonds), respectively. Triangles without error bars show the distribution of the intrinsic luminosity, hollow circles the observed luminosity function for z = 4.5 (Wang et al. 2009), and the flipped triangles the luminosity function for z = 3.7 as observed by Ouchi et al. (2008). The line depicts the log-linear fit to the data, yielding a power law with α = − 1.19. Number density is in units of Mpc-3/log    (L).

Current usage metrics show cumulative count of Article Views (full-text article views including HTML views, PDF and ePub downloads, according to the available data) and Abstracts Views on Vision4Press platform.

Data correspond to usage on the plateform after 2015. The current usage metrics is available 48-96 hours after online publication and is updated daily on week days.

Initial download of the metrics may take a while.