Free Access

Fig. 4

thumbnail

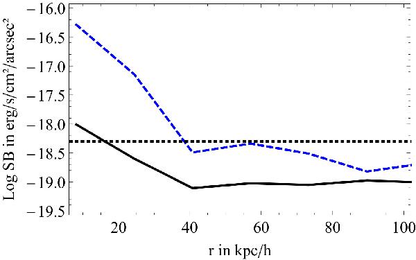
Surface brightness profiles for two sources with observed fractions of ~30%, with masses of 1.9 × 1010 M (black solid line) and 7 × 1011 M (blue dashed line). The horizontal dashed line indicates the detection threshold. On average, there were only 2 pixels per source above the detection threshold, and over 90% are detected in less than 5.5 pixels.

Current usage metrics show cumulative count of Article Views (full-text article views including HTML views, PDF and ePub downloads, according to the available data) and Abstracts Views on Vision4Press platform.

Data correspond to usage on the plateform after 2015. The current usage metrics is available 48-96 hours after online publication and is updated daily on week days.

Initial download of the metrics may take a while.