Free Access

Fig. 3

thumbnail

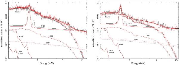
XMM-Newton/MOS spectra of the IN (left) and OUT (right) regions and best-fit models. MOS1 data are shown in black and MOS2 in red. The contribution from the various background components (sky: local bubble, Galactic halo, and CXB; internal: NXB and QSP) is compared to the best-fit source model.

This figure is made of several images, please see below:

Current usage metrics show cumulative count of Article Views (full-text article views including HTML views, PDF and ePub downloads, according to the available data) and Abstracts Views on Vision4Press platform.

Data correspond to usage on the plateform after 2015. The current usage metrics is available 48-96 hours after online publication and is updated daily on week days.

Initial download of the metrics may take a while.