Free Access

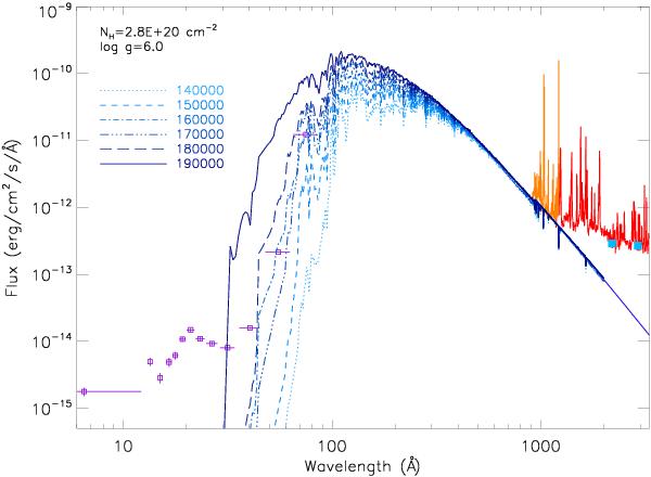
Fig. 6

thumbnail

Spectral energy distribution of RR Tel. The figure shows XMM-Newton EPIC, ORFEUS, and IUE data, and a set of model atmospheres normalised to the flux at 1100 Å (see the text for details). All data have been corrected for an interstellar absorption equivalent to an hydrogen column density of 2.8 × 1020 cm-2.

Current usage metrics show cumulative count of Article Views (full-text article views including HTML views, PDF and ePub downloads, according to the available data) and Abstracts Views on Vision4Press platform.

Data correspond to usage on the plateform after 2015. The current usage metrics is available 48-96 hours after online publication and is updated daily on week days.

Initial download of the metrics may take a while.