Free Access

Fig. 11

thumbnail

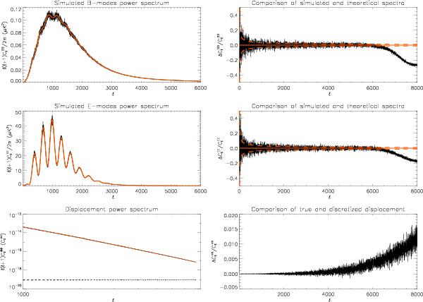
Example of a single realization of a high-accuracy and high-precision simulation of the lensed CMB polarization spectra obtained with lenS2HAT. The run required an unprecedented resolution and bandwidth and was performed as a demonstration of the code capabilities. The bandwidth parameters have been set to obtain 0.1% accuracy of modes up to  ≈ 5500 for both B and E spectra. For the polarization signals, top and middle panels, the left panels show the spectra recovered from the lenS2HAT run, black solid line, and the theoretical one obtained from CAMB (red solid line). The right panels show the relative difference between these two with the dashed lines outlining the expected 1σ uncertainty due to sampling variance. The bottom-left panel shows the E-modes power spectrum of the recovered displacement before the NGP assignment, red solid line, and the E-modes and B-modes power spectra of the displacement field after the NGP, black dashed lines, with the former E-modes spectrum overlapping the latter nearly perfectly. The bottom-right panel shows the relative discretization error.

Current usage metrics show cumulative count of Article Views (full-text article views including HTML views, PDF and ePub downloads, according to the available data) and Abstracts Views on Vision4Press platform.

Data correspond to usage on the plateform after 2015. The current usage metrics is available 48-96 hours after online publication and is updated daily on week days.

Initial download of the metrics may take a while.