Free Access

Fig. 9

thumbnail

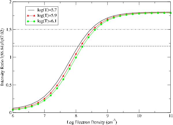
The I(86.84 Å)/I(87.02 Å) line intensity ratio plotted as a function of logarithmic electron density (Ne in cm-3) at logarithmic electron temperatures (Te in K) of log Te = 5.7, 5.9 and 6.1. The experimental ratio of 1.2 from the Chandra spectrum of Procyon (Raassen et al. 2002) is plotted as a dashed line, while the ratio corrected for the presence of an Fe xi blend in the 87.02 Å feature (1.5) is shown as a dashed-dot line.

Current usage metrics show cumulative count of Article Views (full-text article views including HTML views, PDF and ePub downloads, according to the available data) and Abstracts Views on Vision4Press platform.

Data correspond to usage on the plateform after 2015. The current usage metrics is available 48-96 hours after online publication and is updated daily on week days.

Initial download of the metrics may take a while.