Free Access

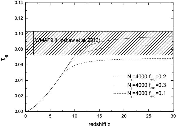
Fig. 6

thumbnail

Optical depth τe due to the scattering between the ionized gas and the CMB photons is shown. The shade region is given by the nine-year WMAP measurements (τe = 0.089 ± 0.014). The reionization history calculated from GRB-inferred SFR can easily reach τe from WMAP nine-year data.

Current usage metrics show cumulative count of Article Views (full-text article views including HTML views, PDF and ePub downloads, according to the available data) and Abstracts Views on Vision4Press platform.

Data correspond to usage on the plateform after 2015. The current usage metrics is available 48-96 hours after online publication and is updated daily on week days.

Initial download of the metrics may take a while.