Free Access

Fig. 1

thumbnail

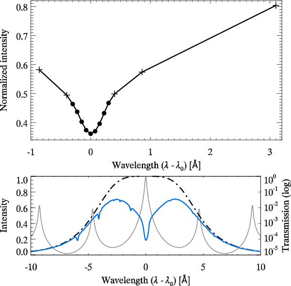
Top panel: Ca iiλ8542 observations acquired at the line positions indicated on the line profile. Exposure time is 900 ms (circles) and 210 ms (crosses). Bottom panel: CRISP instrumental profile at 854.0 nm (solid gray) in logarithmic scale. A solar-atlas profile multiplied with the theoretical estimate of the prefilter (dashed-dotted line) is indicated in blue.

Current usage metrics show cumulative count of Article Views (full-text article views including HTML views, PDF and ePub downloads, according to the available data) and Abstracts Views on Vision4Press platform.

Data correspond to usage on the plateform after 2015. The current usage metrics is available 48-96 hours after online publication and is updated daily on week days.

Initial download of the metrics may take a while.