Free Access

Fig. 2

thumbnail

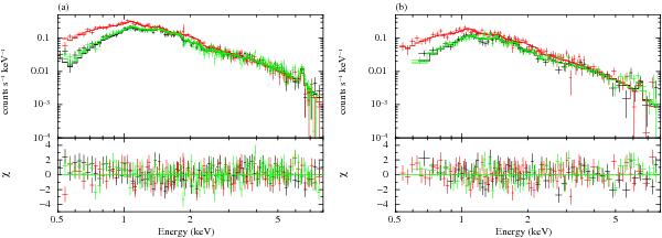
Observed XIS spectra of a) A76 East and b) West. The spectra collected by XIS-0 (black), 1 (red), and 3 (green) are shown separately. The solid lines in the upper panel show the best-fitting APEC model simultaneously fitted to the three sensors convolved with the telescope and detector response functions. Bottom panel shows the residuals of the fit (in number of standard deviations).

This figure is made of several images, please see below:

Current usage metrics show cumulative count of Article Views (full-text article views including HTML views, PDF and ePub downloads, according to the available data) and Abstracts Views on Vision4Press platform.

Data correspond to usage on the plateform after 2015. The current usage metrics is available 48-96 hours after online publication and is updated daily on week days.

Initial download of the metrics may take a while.