Free Access

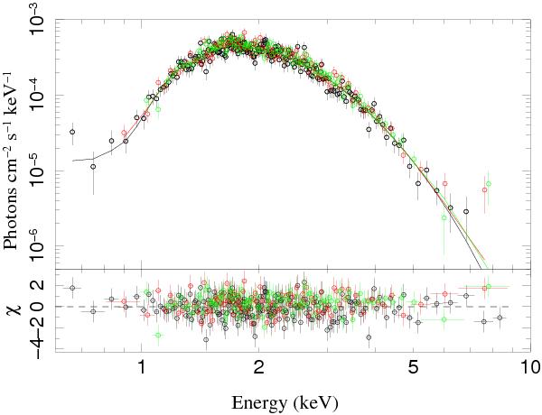
Fig. 3

thumbnail

Fit to the spectra of the CCO in HESS J1731−347 obtained with the PN, MOS1, and MOS2 cameras of XMM-Newton with the carbon atmosphere model assuming a distance of 3.2 kpc.

Current usage metrics show cumulative count of Article Views (full-text article views including HTML views, PDF and ePub downloads, according to the available data) and Abstracts Views on Vision4Press platform.

Data correspond to usage on the plateform after 2015. The current usage metrics is available 48-96 hours after online publication and is updated daily on week days.

Initial download of the metrics may take a while.