Free Access

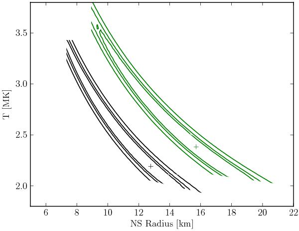
Fig. 5

thumbnail

χ2 confidence regions for the CCO in HESS J1731−347 similar to those in Fig. 4 but in the mass – effective temperature plane. As before, the black contours (bottom left) correspond to the fixed distance of 3.2 kpc, the green contours (top right) to 4.5 kpc.

Current usage metrics show cumulative count of Article Views (full-text article views including HTML views, PDF and ePub downloads, according to the available data) and Abstracts Views on Vision4Press platform.

Data correspond to usage on the plateform after 2015. The current usage metrics is available 48-96 hours after online publication and is updated daily on week days.

Initial download of the metrics may take a while.