Free Access

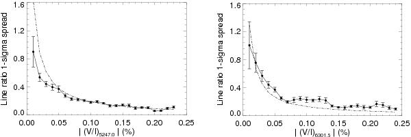
Fig. 6

thumbnail

Variation of the standard deviation of the Gaussian fit function with V/I amplitude, for the same observational sample that was used in Figs. 3 and 4 (solid lines). The dot-dashed curves represent the standard deviations that would result from the known measurement noise alone. The agreement with the solid curves is evidence that practically all the spread of the points around the regressions in the scatter plots is instrumental, with no discernible solar contribution. The left panel represents the green line pair, the right panel the red line pair.

Current usage metrics show cumulative count of Article Views (full-text article views including HTML views, PDF and ePub downloads, according to the available data) and Abstracts Views on Vision4Press platform.

Data correspond to usage on the plateform after 2015. The current usage metrics is available 48-96 hours after online publication and is updated daily on week days.

Initial download of the metrics may take a while.