Free Access

Fig. 5

thumbnail

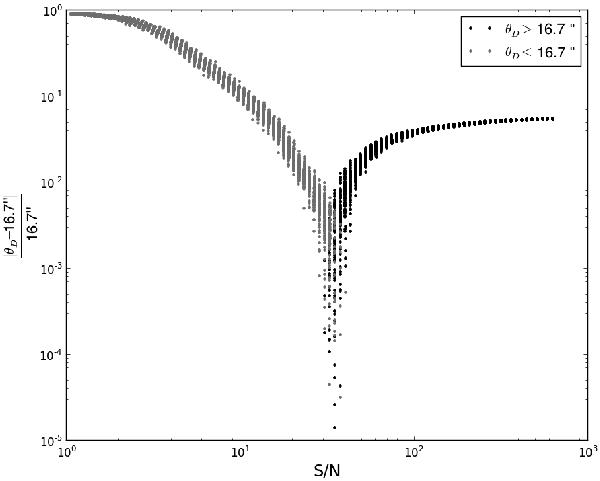
Diagram showing how the best-fit θD varies with S/N for Saturn. Gray indicates the instances where the best-fit θD is below 16.7′′, which is the true angular size of Saturn for the observation. Black indicates where the best-fit θD is above 16.7′′.

Current usage metrics show cumulative count of Article Views (full-text article views including HTML views, PDF and ePub downloads, according to the available data) and Abstracts Views on Vision4Press platform.

Data correspond to usage on the plateform after 2015. The current usage metrics is available 48-96 hours after online publication and is updated daily on week days.

Initial download of the metrics may take a while.